Помогите решить
Нажмите для просмотра прикрепленного файла
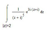
Нахожу, что -i полюс кратности 5 и дальше считаю вычет по формуле и получаю в итоге интеграл, равный 0 (так как вычет равен нулю). Но этого же не может быть?
Нажмите для просмотра прикрепленного файла
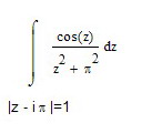
Тут iP - полюс кратности 1. Нахожу вычет и в итоге cos(iP), что тоже неправильно.
