Помощь
-
Поиск
-
Пользователи
-
Календарь
Полная версия:
Интегралы ( Сообщение # 4188 by disb ) > ТФКП и операционное исчисление
Образовательный студенческий форум
>
Высшая математика
>
ТФКП и операционное исчисление
disb
31.5.2007, 12:56
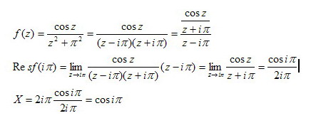
X - значение интеграла
Нажмите для просмотра прикрепленного файла
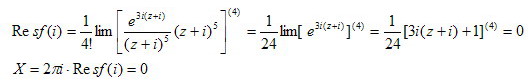
-i - полюс кратности 5 (наверное
) и находится внутри заданной области
Нажмите для просмотра прикрепленного файла
iP - полюс кратности 1 и тоже вроде находится внутри области
Это текстовая версия — только основной контент. Для просмотра полной версии этой страницы, пожалуйста,
нажмите сюда
.
Русская версия Invision Power Board © 2001-2026
Invision Power Services, Inc.