Помощь - Поиск - Пользователи - Календарь
Полная версия: Классическое опр.вер-ти > Теория вероятностей
Образовательный студенческий форум > Высшая математика > Теория вероятностей
Hukola
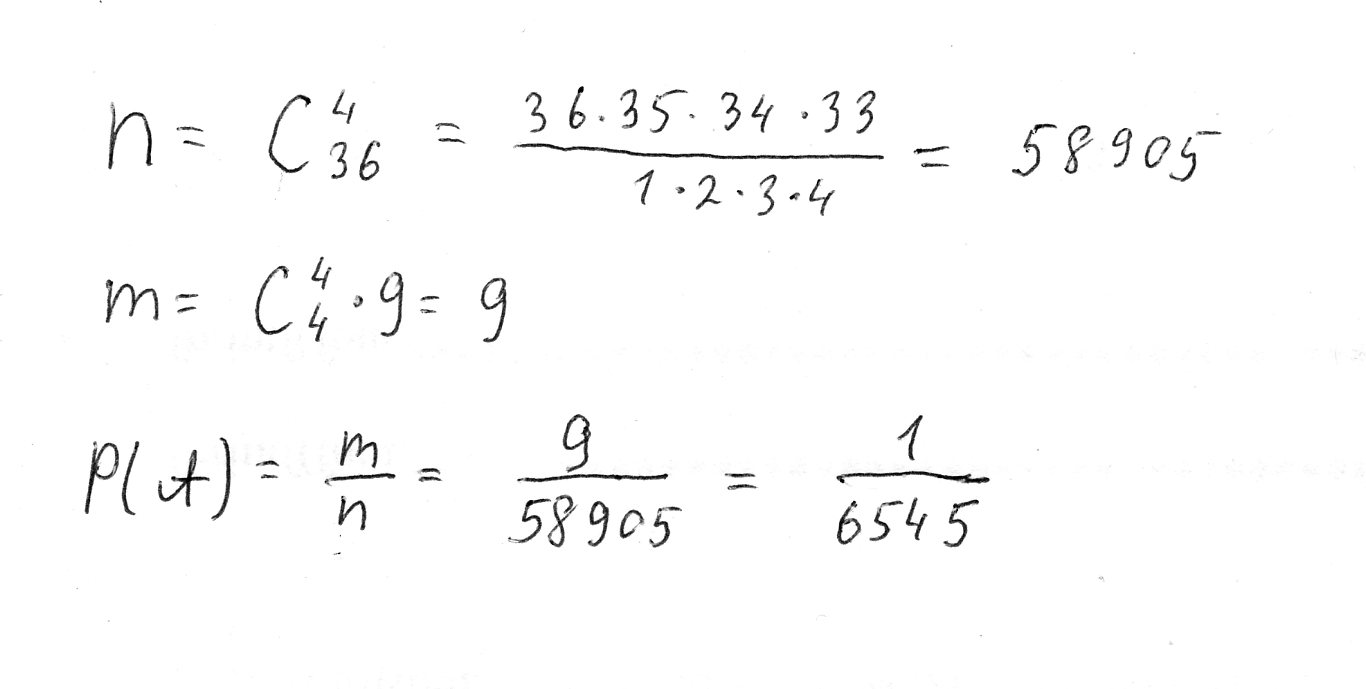
36 игральных карт колоды раздаются 9-и игрокам по 4 карты каждому.
Какова вероятность, что один из игроков получит все карты одного наименования (например, получит 4 туза)?

Я решал так:
А: один из игроков получит все карты одного наименования
P(A)-?
В колоде 9 пар по 4 карты одного наименования.
Нажмите для просмотра прикрепленного файла
n-общее кол-во исходов.
m-кол-во исходов, благоприятствующих появлению события A.
То есть вероятность будет равна 1/6545.

Уважаемые форумчане, правильно ли решение?
malkolm
Условие допускает многочисленные толкования (минимум, три разных):
1) Хотя бы один из игроков получит карты одинаковго наименования
2) Ровно один из игроков получит ...
3) Вася Пупкин получит ...

Вы нашли вероятность того, что Вася Пупкин получит карты одинакового наименования. Вы уверены, что в условии имелось в виду именно это?
Hukola
Цитата

Условие допускает многочисленные толкования (минимум, три разных):
1) Хотя бы один из игроков получит карты одинаковго наименования
2) Ровно один из игроков получит ...
3) Вася Пупкин получит ...

Вы нашли вероятность того, что Вася Пупкин получит карты одинакового наименования. Вы уверены, что в условии имелось в виду именно это?


Если я правильно понял, то имелось ввиду
Цитата
2) Ровно один из игроков получит ...

Значит вероятность будет равна 1/6545 умножить на число сочетаний из 9 по 1 = 9/6545 ?
malkolm
Каким образом складывая 9 вероятностей того, что
1) Вася получит ....
2) Федя получит ....
3) Вова получит ....
4) Дима получит ...
и т.п., можно получить вероятность, что ровно один из них получит ... ?

Если бы Вы искали вероятность того, что хотя бы кто-то из них получит ... , то сумма была бы хоть и неверной, но объяснимой: вероятность объединения - сумма вероятностей (беда только, что события (1), (2) и т.д. совместны!). А событие "ровно один из игроков получит..." связано со всеми девятью, если его и выражать через (1), (2), ..., то выражение сложное: первое выполнено, а прочие - нет; либо второе выполнено, а прочие - нет, и т.д. Убиться веником.

Чтобы нормально решить эту задачу, нужно сначала выбрать того, кто получит, дать ему его карты, и остаться с 8 человеками и колодой в 32 карты, из которой никто не должен получить целое наименование. Вероятность противоположного события ищется по формуле включения - исключения. Или поищите в сети "число беспорядков". Впрочем, первая же ссылка: http://ru.wikipedia.org/wiki/Беспорядок_(перестановка)
Hukola
Что-то пока не очень понятно. Но пока обдумывал, пришел к выводу, что, скорее всего, не для "ровно одного" вероятность нужна. А нужно найти вер-ть, что один из игроков получит все карты одного наименования, а остальные не важно что получат. Это можно рассматривать как
Цитата
Хотя бы один из игроков получит карты одинакового наименования
?
malkolm
Тем более - формула включения-исключения. Представьте событие в виде объединения совместных событий, и воспользуйтесь формулой включения-исключения.
Hukola
То есть представить себе что: или 1ый получит, или 2ой.. или 9ый ? И воспользоваться формулой включения-исключения.. получается

P(A+B+C+D+E+F+G+H+I)=P(A)+P(B )+P(С)+P(D)+P(E)+P(F)+P(G)+P(H)+P(I)
-P(AB)-P(AC)-P(AD)-P(AE)-P(AF)-P(AG)-P(AH)-P(AI)-P(BC)-P(BD)
-P(BE)-P(BF)-P(BG)-P(BH)-P(BI)-P(CD)-P(CE)-P(CF)-P(CG)-P(CH)
-P(CI)-P(DE)-P(DF)-P(DG)-P(DH)-P(DI)-P(EF)-P(EG)-P(EH)-P(EI)
-P(FG)-P(FH)-P(FI)-P(GH)-P(GI)-P(HI)+P(ABCDEFGHI)

Такое чувство, что я снова рассуждаю не так. А если так, то формула P(A+B+C+D+E+F+G+H+I) раскрыта верно ? (а то формулу максимально для 3 событий нашёл, посмотрел для 4-х понял бы точно как раскрывается)
malkolm
Так, так, но формула раскрыта неверно. Вычитаются все пары (кстати, сколько их? А то перечислять-то долго можно, а вероятности у пересечения любых двух одинаковы). Добавляются все тройки. Вычитаются все четвёрки. Добавляются все пятёрки. И т.д.
Hukola
Ага, то есть вероятность того, что хотя бы один из игроков получит 4 карты одинакового наименования в общем виде выглядит так

Нажмите для просмотра прикрепленного файла

или вновь неправильно раскрыта формула?
malkolm
Знаки!!!
Hukola
Ааа. знаки чередуются, теперь понял.

Нажмите для просмотра прикрепленного файла

И если всё верно, то останется, учитывая, что P(A)=P(B )=...=P(I)=1/6545 подставить всё в формулу, сложить и перемножить?
malkolm
Хе, а вероятности P(AB ), P(ABC), P(ABCD) и т.д. кто искать будет? Например, P(AB): общее число исходов есть число способов выбрать 4, а потом ещё 4 карты. Благоприятных - любое наименование для первого, любое из 8 остальных для второго.

То, что P(A)=P(B )=..., Вы уже учли, написав вместо суммы 9*P(A).
Hukola
Цитата(malkolm @ 6.6.2011, 18:22) *

Хе, а вероятности P(AB ), P(ABC), P(ABCD) и т.д. кто искать будет? Например, P(AB): общее число исходов есть число способов выбрать 4, а потом ещё 4 карты. Благоприятных - любое наименование для первого, любое из 8 остальных для второго.

То, что P(A)=P(B )=..., Вы уже учли, написав вместо суммы 9*P(A).


да-да, как раз только что об этом задумался и тут Вы напомнили
P(AB )=P(AC)=...= (9/58905) * (8/58905)
P(ABC)=P(ABD)=...=(9/58905) * (8/58905) * (7/58905)
и т.д.

Останется только перемножить и сложить эти гигантские значения?
Hukola
Excel в помощь и примерно получилось 1/854

А обязательно всё подсчитывать или можно было написать, что значения остальных настолько малы что ими можно пренебречь и посчитать только первую вер-ть P(A)*9 ? Пока считал в excel определил, что разница между ответами в тысячных.
malkolm
Цитата(Hukola @ 7.6.2011, 1:41) *

да-да, как раз только что об этом задумался и тут Вы напомнили
P(AB )=P(AC)=...= (9/58905) * (8/58905)

Неверно. Что, на месте вынутых карт в колоде новые рождаются? smile.gif
Hukola
Да, надо научиться собранней быть blush.gif

P(AB)=P(AC)=.. =(9/C из 36 по 4) * (8/C из 32 по 4)
P(ABC)=...= (9/C из 36 по 4) * (8/C из 32 по 4) * (7/C из 28 по 4)
и т.д.

Так.. теперь, кажется, все учтено
malkolm
Замечательно!
Что до разницы суммы вероятностей и точного ответа - то кто знает, с какой точностью нужен ответ? Кабы это была задача у меня на контрольной, то никакого иного ответа, кроме указанной суммы с биномиальными коэффициентами (в крайнем случае, доведенной до суммы простых дробей или до простой дроби) не принималось бы smile.gif
Hukola
Всё, решил. Благодарю Вас за оказанные терпение и помощь в решении задачи. Спасибо Вам ! smile.gif
Это текстовая версия — только основной контент. Для просмотра полной версии этой страницы, пожалуйста, нажмите сюда.
Русская версия Invision Power Board © 2001-2026 Invision Power Services, Inc.