Помощь
-
Поиск
-
Пользователи
-
Календарь
Полная версия:
Классическое опр.вер-ти ( Сообщение # 75623 by Hukola ) > Теория вероятностей
Образовательный студенческий форум
>
Высшая математика
>
Теория вероятностей
Hukola
6.6.2011, 16:53
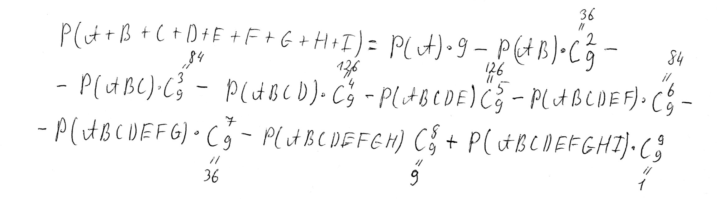
Ага, то есть вероятность того, что хотя бы один из игроков получит 4 карты одинакового наименования в общем виде выглядит так
Нажмите для просмотра прикрепленного файла
или вновь неправильно раскрыта формула?
Это текстовая версия — только основной контент. Для просмотра полной версии этой страницы, пожалуйста,
нажмите сюда
.
Русская версия Invision Power Board © 2001-2026
Invision Power Services, Inc.