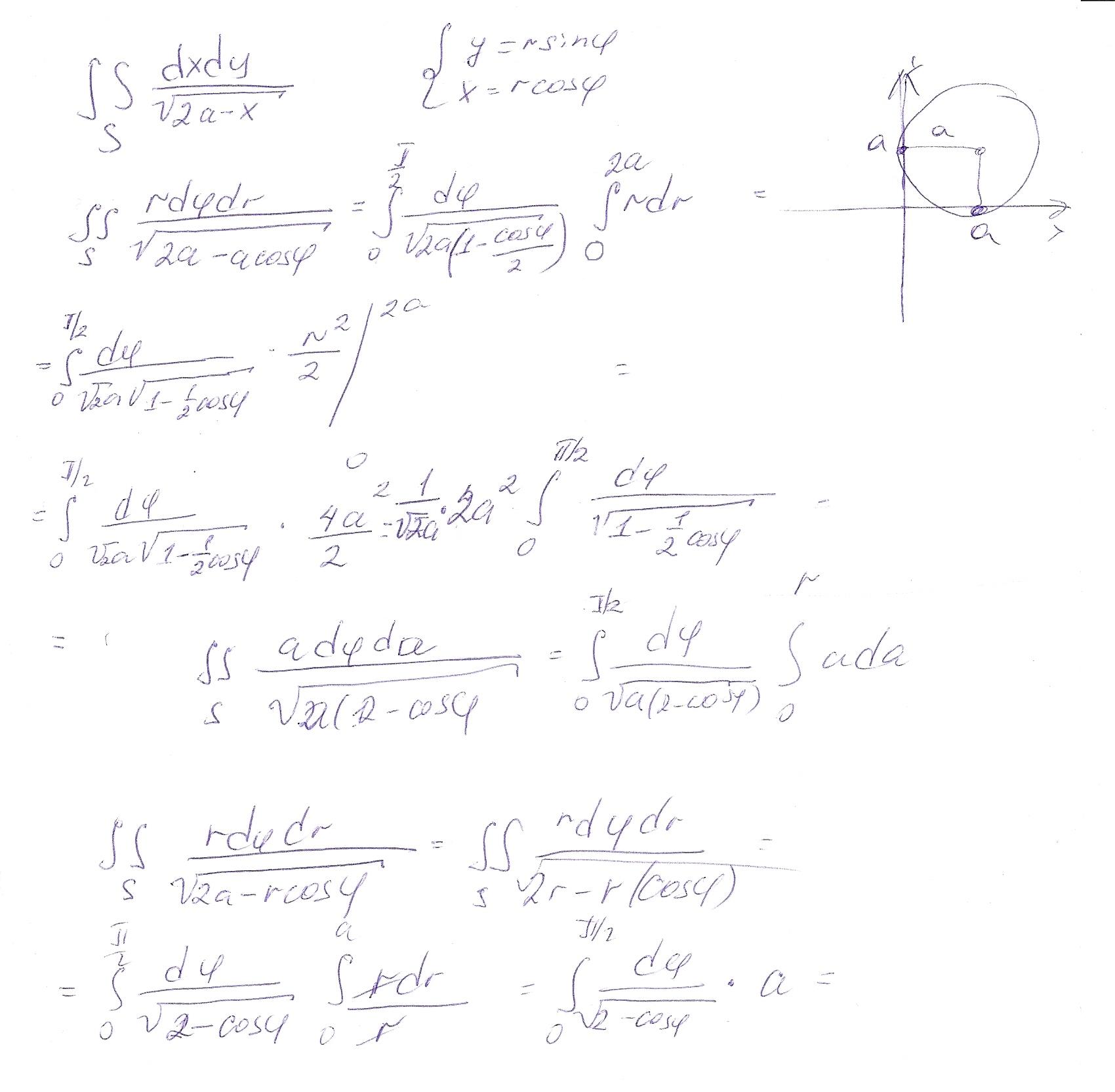
пытался решить итеграл-не получилось, интересно решение.
при попытке решить сделал замену в полярную систему,привел к повторному, не получилось правильно определить пределы итегрирования второй части, ответ получился не правильный..есть мысль что пределах будет уравнение окружности..

правильный ответ известен - 8/3*а*sqrt(2a), очень интересно само решение)
