Помощь
-
Поиск
-
Пользователи
-
Календарь
Полная версия:
Подскажите решение > Интегралы
Образовательный студенческий форум
>
Высшая математика
>
Интегралы
Слаин Артур
Сообщение
#50223
6.1.2010, 16:55
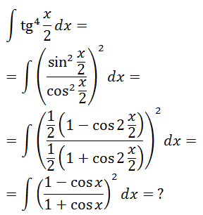
Не могу решить никак...
Нажмите для просмотра прикрепленного файла
Это ведь через "
Новое интегрирование тригонометрических функций
" решается?
tig81
Сообщение
#50224
6.1.2010, 17:09
Цитата(Слаин Артур @ 6.1.2010, 18:55)
"
Новое интегрирование тригонометрических функций
"
Что вы под этим подразумеваете?
Ярослав_
Сообщение
#50225
6.1.2010, 17:10
Нет, всё проще.
tg^4(X)=tg^2(X)*tg^2(X)=tg^2(X)*((1/cos^2(X))-1)=tg^2(X)/cos^2(X)-tg^2(X)=...
X=x/2
Слаин Артур
Сообщение
#50227
6.1.2010, 17:22
Цитата(tig81 @ 6.1.2010, 17:09)
Что вы под этим подразумеваете?
Нажмите для просмотра прикрепленного файла
Цитата(Ярослав_ @ 6.1.2010, 17:10)
Нет, всё проще.
tg^4(X)=tg^2(X)*tg^2(X)=tg^2(X)*((1/cos^2(X))-1)=tg^2(X)/cos^2(X)-tg^2(X)=...
X=x/2
а с
dx
что делать? он не заменяется разве? чет я совсем уже запутался...
Ярослав_
Сообщение
#50228
6.1.2010, 17:32
Цитата
а с dx что делать? он не заменяется разве? чет я совсем уже запутался...
Ну хотите, замену сделайте
0.5*x=t
dx=2*dt
Слаин Артур
Сообщение
#50247
6.1.2010, 19:59
Уфф блин... Вроде че то сделал...
Нажмите для просмотра прикрепленного файла
Ярослав_
Сообщение
#50256
6.1.2010, 21:00
Цитата
Уфф блин... Вроде че то сделал...
Колдуй баба, колдуй дед
Трое с боку, ваших нет...
Вот квадрат тангенса ещё раз представьте как 1/cos^2t-1, это уже таблица...
Слаин Артур
Сообщение
#50321
7.1.2010, 13:38
(tan/cos) - tan
а это откуда появилось?
граф Монте-Кристо
Сообщение
#50326
7.1.2010, 14:01
tg^2(x)=(1/cos^2(x))-1.
Это текстовая версия — только основной контент. Для просмотра полной версии этой страницы, пожалуйста,
нажмите сюда
.
Русская версия Invision Power Board © 2001-2026
Invision Power Services, Inc.