Помощь
-
Поиск
-
Пользователи
-
Календарь
Полная версия:
Подскажите решение ( Сообщение # 50247 by Слаин Артур ) > Интегралы
Образовательный студенческий форум
>
Высшая математика
>
Интегралы
Слаин Артур
6.1.2010, 19:59
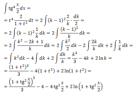
Уфф блин... Вроде че то сделал...
Нажмите для просмотра прикрепленного файла
Это текстовая версия — только основной контент. Для просмотра полной версии этой страницы, пожалуйста,
нажмите сюда
.
Русская версия Invision Power Board © 2001-2026
Invision Power Services, Inc.