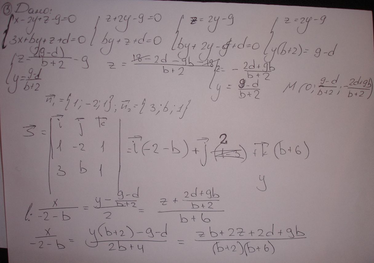
В верхней картинке:
От общих уравнений прямой можно перейтик её каноническим или параметрическим уравнениям. Для этого нужно найти какую-либо точку М на прямой и направляющий вектор прямой.
Координаты точки М получим из данной системы уравнений, придав одной из координат произвольное значение. Я посчитал, что х=0.
Далее в системе x и y выразил через d и b.
Нашел направляющий вектор s.
Далее подставил полученные результаты и записал каноническое уравнение.
На нижней картинке:
Цитата(Тролль @ 18.12.2008, 21:51)

Уравнение задает собой прямую. Плоскость Оху имеет уравнение z = 0. Если прямая лежит в этой плоскости, то линия пересечения прямой и плоскости совпадает с самой прямой.
Подставляем в исходную систему z = 0
Получаем систему из двух уравнений. Осталось найти b и d зная, что система имеет бесконечное количество решений.
Исходя из этого, я просто приравнял z к нулю и стал решать как систему уравнений.
Не могу понять, как из полученных результатов можно записать ответ.