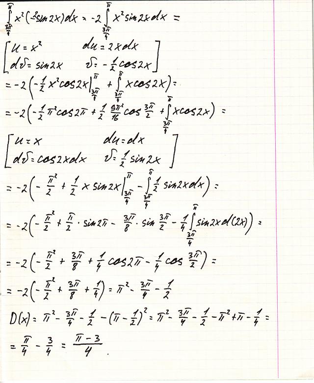
Интеграл для нахождения мат. ожидания:
sin(2x)/4(первая строчка на второй страничке).. когда подставляете пределы, то от верхнего предела отнимаем нижний, а у вас два раза знак плюс. Поэтому в ответе при 1/2 другой знак.
В дисперсии один раз забыли дописать dx.
Когда применяли метод по частям:v=-cos2x/2 и соответственно далее не то подставленно.
Спасибо, исправил. Вот так получилось:
Нажмите для просмотра прикрепленного файла
Ответ уже получше вышел
