Помощь - Поиск - Пользователи - Календарь
Полная версия: СВ, нормальный закон распр-я, среднее квадратическое отклонение > Теория вероятностей
Образовательный студенческий форум > Высшая математика > Теория вероятностей
tancheg
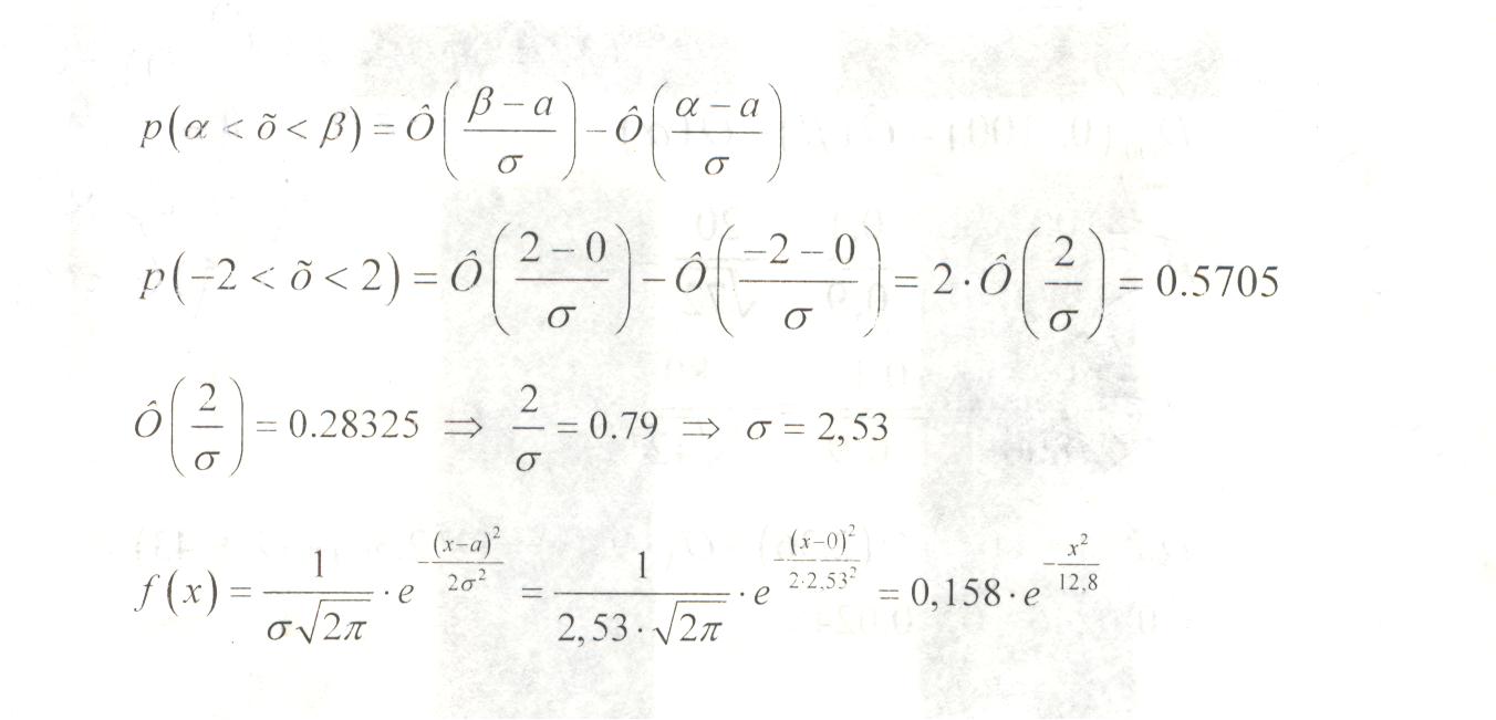
Случайная величина Х подчинена нормальному закону распределения с нулевым математическим ожиданием. Вероятность попадания этой случайной величины в интервал (–2;2) равна 0,5705. Найти среднее квадратическое отклонение и плотность вероятности этой случайной величины.

Итак, формула есть
Изображение куда я подставляю свои значения интервала х1 и х2 и также из условия мне дано, что всё это дело равно 0,5705
и вроде бы всё не так уж сложно, но я никак не могу понять как найти параметр в знаменателе моей гениальной формулы (дико стыдно, но я забыла как называется эта буква blush.gif )
как только я пойму это, можно будет смело находить плотность вероятности СВ из формулы
Изображение

в общем, надеюсь на вашу помощь)
matpom
Цитата(tancheg @ 22.4.2010, 8:09) *

Случайная величина Х подчинена нормальному закону распределения с нулевым математическим ожиданием. Вероятность попадания этой случайной величины в интервал (–2;2) равна 0,5705. Найти среднее квадратическое отклонение и плотность вероятности этой случайной величины.

Итак, формула есть
Изображение куда я подставляю свои значения интервала х1 и х2 и также из условия мне дано, что всё это дело равно 0,5705
и вроде бы всё не так уж сложно, но я никак не могу понять как найти параметр в знаменателе моей гениальной формулы (дико стыдно, но я забыла как называется эта буква blush.gif )
как только я пойму это, можно будет смело находить плотность вероятности СВ из формулы
Изображение

в общем, надеюсь на вашу помощь)



В условии Вам так же дано что математическое ожидание а=0
Тогда Ваш интервал (-2;2) это симметричный интервал

Р(-2;2)=2Р(0;2)=0,5705

Ну дальше все просто. Находите чему равно сигма и решаете задачу.
tancheg
ох..что-то как-то легче мне к сожалению не становится..ибо понять хочу почему так, а не по-другому..)
просто у меня на руках ещё есть одна запись, смущающая меня)вот именно там мне интересно как нашли эту заковыристую букву, название которой я забыла)
её прилагаю..а также в учебнике моём в начале формулы, по которой плотность вероятности надо находить стоит 1/2..а везде в интернете смотрела-нет такого..это как?
Нажмите для просмотра прикрепленного файла
tancheg
ау..никто ещё не откликнется?
matpom
Цитата(tancheg @ 26.4.2010, 7:35) *

ау..никто ещё не откликнется?



Вы знаете как по таблице найти значение Ф(1,66)=... ?

Так почему Вы не можете найти по той же таблице только наоборот такое значение х что Ф(х)=0.28325 ??

В Вашей задаче именно так и надо искать..



Это текстовая версия — только основной контент. Для просмотра полной версии этой страницы, пожалуйста, нажмите сюда.
Русская версия Invision Power Board © 2001-2026 Invision Power Services, Inc.