Помощь
-
Поиск
-
Пользователи
-
Календарь
Полная версия:
Двойной интеграл ( Сообщение # 39979 by Руководитель проекта ) > Интегралы
Образовательный студенческий форум
>
Высшая математика
>
Интегралы
Руководитель проекта
7.9.2009, 11:55
Цитата(Smolexey @ 7.9.2009, 12:21)
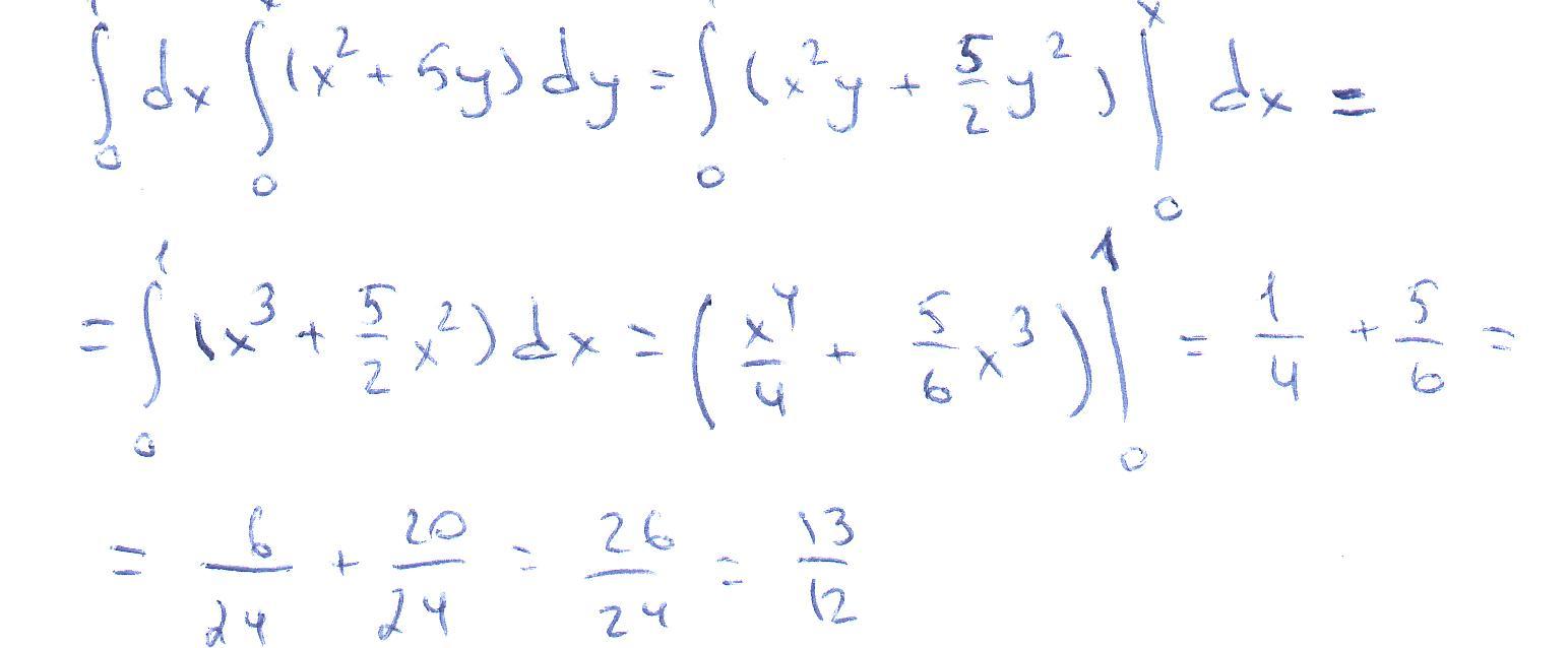
А так можно?
Нажмите для просмотра прикрепленного файла
Можно.
Это текстовая версия — только основной контент. Для просмотра полной версии этой страницы, пожалуйста,
нажмите сюда
.
Русская версия Invision Power Board © 2001-2026
Invision Power Services, Inc.