Зачем функцию продолжать на промежутке [2,5]?
Полупериод [0,2], нужно доопределить функцию f(x) на сегменте [-2,0] нечетным образом, далее считать

А что касается графика, его просто нужно продолжить периодически нечетным образом, с периодом 4.
Вроде не ошибся.
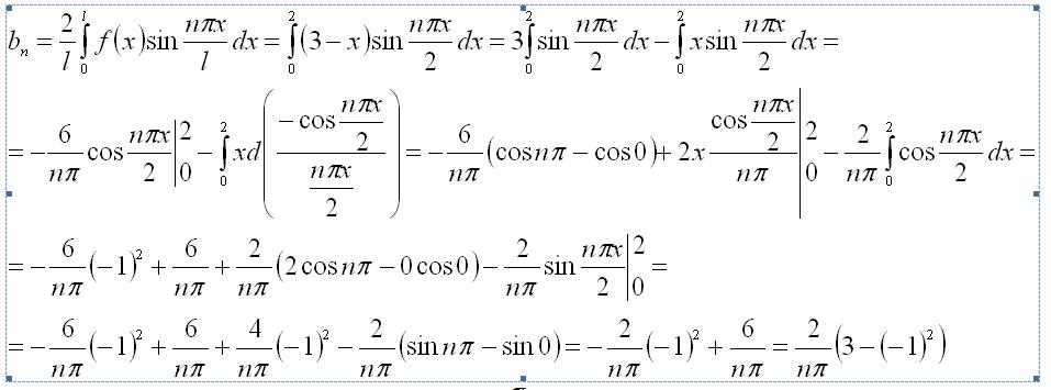
Вот правильное решение для второй функции, для первой уже было решено.
Нажмите для просмотра прикрепленного файла
В любом случае - всем спасибо за помощь!
