Помощь - Поиск - Пользователи - Календарь
Полная версия: ТАУ > ТФКП и операционное исчисление
Образовательный студенческий форум > Высшая математика > ТФКП и операционное исчисление
Femina Sage
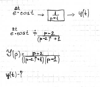
Дан входной сигнал x(t)=(е^2t)*cost
Передаточная функция: 1/(p+1)
Надо найти выходной сигнал у(t)-?

... Преобразовывая получаю, что У(р)= (р-2)/( ((р-2)^2 +1) * (p-1)) После, насколько я понимаю (?) надо сделать свертку и провести обратное преобразование Лапласа. Но как это делать я застопорилась...
Помогите разобраться unsure.gif
Нажмите для просмотра прикрепленного файла
Dimka
Разложите сложную дробь на сумму простых методом неопределенных коэффициентов, дальше каждую простую дробь приведите к табличному виду. После чего по таблице найдите оригинал. Можно также воспользоваться математическим павкетом а не "сушить" себе мозги.

Ответ:
(-3/10)e^(-t)+(3/10)e^(2*t)*cos(t)+(1/10)e^(2*t)*sin(t)
Femina Sage
Dimka, спасибо попробую.
Просто, увы, решить надо вручную... решение ради решения=/
Это текстовая версия — только основной контент. Для просмотра полной версии этой страницы, пожалуйста, нажмите сюда.
Русская версия Invision Power Board © 2001-2026 Invision Power Services, Inc.