Помощь - Поиск - Пользователи - Календарь
Полная версия: распределения немонотонной функции одного случайного аргумента > Теория вероятностей
Образовательный студенческий форум > Высшая математика > Теория вероятностей
matan
по условию: случайная величина задана плотностью распределения f(x) на интервале (-inf;inf)
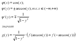
Y=cos(x); я предполагаю следующее решение: Нажмите для просмотра прикрепленного файла
malkolm
Это вообще не решение. Что такое y=+- arccos(y) - уравнение на y?

Вы же в заголовке отметили, что функция cos(х) - немонотонная! Нет у неё обратной функции на всей прямой.

Ищите по определению функцию распределения Y.
matan
блин, и как это ?? вообще не пойму что именно нужно делать.
malkolm
Вы о чём? blink.gif
Перевожу:
Распределение случайной величины Х задано плотностью распределения f(x) на всей прямой. Случайная величина Y = cos(X). Требуется найти плотность распределения Y.

Предлагаю ТС как минимум начать вычислять функцию распределения. Задачи такой степени общности в заборостроительном институте не даются. Стало быть, ТС по определению должен обладать достаточными знаниями, чтобы хотя бы понимать условие.
Juliya
ой, проглядела Y... blush.gif

ps удалила свое сообщение, т.к. редактировать нельзя
Это текстовая версия — только основной контент. Для просмотра полной версии этой страницы, пожалуйста, нажмите сюда.
Русская версия Invision Power Board © 2001-2026 Invision Power Services, Inc.