Цитата(tig81 @ 3.2.2009, 0:52)

Меня так учили.

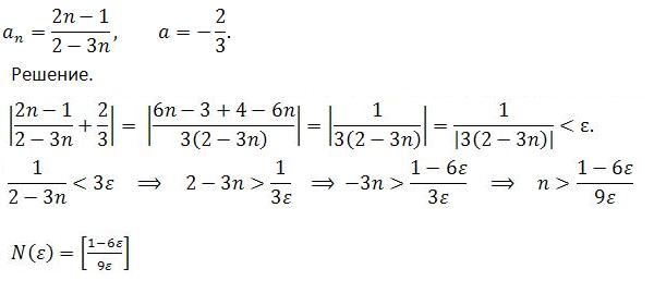
Ну а вообще, по определению целой части числа n - это такое целое число, которое не превосходит n. Например корень равен 2.3, т.е. неравенство n>2.3, тогда если N=[2.3]=2, то оно не принадлежит указанному промежутку. Объяснила корявенько

, надеюсь, что правильно.
а если будет например корень третьей степени из выражения, то N(ε) = [корень третьей степени из выражения]+1
так?
а во втором там наверно что-то с раскрытием модуля не так? нужно в знаменателе поменять местами? можно так?