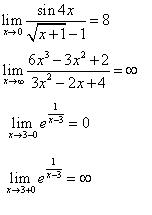
День добрый. Прошу помощи, срочно надо дорешать контрольную. В математике когда то прилично рубил... всё сделал, но остались эти ПРЕДЕЛЫ.... никак не получается вспомнить как решать 4 оставшихся. ХЕЛП!!!

Нажмите для просмотра прикрепленного файла


ответ известен (всегда можно в инэте узнать), но ход решения нет, помогите чем можете)))