Помощь
-
Поиск
-
Пользователи
-
Календарь
Полная версия:
Интеграл ( Сообщение # 54262 by KirK ) > Интегралы
Образовательный студенческий форум
>
Высшая математика
>
Интегралы
KirK
21.3.2010, 17:47
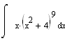
Помогите решить интересный интеграл не используя бином Ньютона
Нажмите для просмотра прикрепленного файла
Это текстовая версия — только основной контент. Для просмотра полной версии этой страницы, пожалуйста,
нажмите сюда
.
Русская версия Invision Power Board © 2001-2026
Invision Power Services, Inc.