Помощь
-
Поиск
-
Пользователи
-
Календарь
Полная версия:
исследование функции и построение графика ( Сообщение # 53306 by vovan74890 ) > Графики (исследование функций)
Образовательный студенческий форум
>
Высшая математика
>
Графики (исследование функций)
vovan74890
26.2.2010, 23:54
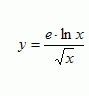
алгоритм есть ,у меня сделано но неправильно, и самое главное что график типо подкачал
функция на картинке
Нажмите для просмотра прикрепленного файла
Это текстовая версия — только основной контент. Для просмотра полной версии этой страницы, пожалуйста,
нажмите сюда
.
Русская версия Invision Power Board © 2001-2026
Invision Power Services, Inc.