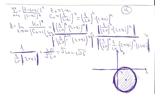
задание: найти и построить область сходимоти ряда. на парах мы решали вот так . только я все проспал и все не понял

.
Нажмите для просмотра прикрепленного файла в итоге я построил область сходимости . но преподаватель говорит исследовать границу этой области, ( как я понял граница может принадлежать области сходимоти а может и не принажлежать) так вот как это сделать... может быть преподаватель что то напутал или я сам чего то непонимаю.