Здравствуйте! Помогите!!! разложить функцию в степенной ряд в окрестности указанной точки. Определить характер особых точек функции.
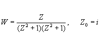
w=z/((z^2)+1)^2, z=i
Знаю что надо написать её разложение на элементарные дроби, а затем разложить каждую дробь в степенной ряд в окрестности указанной точки. Указанная точка как раз и есть особая.

никак не получается разложить на элементарные дроби функцию. Получается в знаменателе биквадратное уравнение. Как дальше его разложить не пойму.
Подскажите как разложить на элементарные дроби пожалуйста!!!!!
Дальше сам попробую решить.


w=z/((z^2)+1)*((z^2)+1), z=i
Нажмите для просмотра прикрепленного файла