Цитата(граф Монте-Кристо @ 6.1.2010, 21:41)

Да, простите, не заметил.
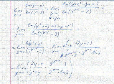
Да, теперь ещё раз, только можно разбить в произведение и искать по Лопиталю предел только от дроби,в которой числитель и знаменатель уходят в ноль.
Разбить в произведение?
Это так?:
lim( (2y+1) * 3(3^y - 3) ) / ( y(y-1) * 3^y * 3ln3 )