Помощь
-
Поиск
-
Пользователи
-
Календарь
Полная версия:
lim(x->0)(tgx/x)^(1/x^2) > Пределы
Образовательный студенческий форум
>
Высшая математика
>
Пределы
Jarek
Сообщение
#4541
8.6.2007, 14:16
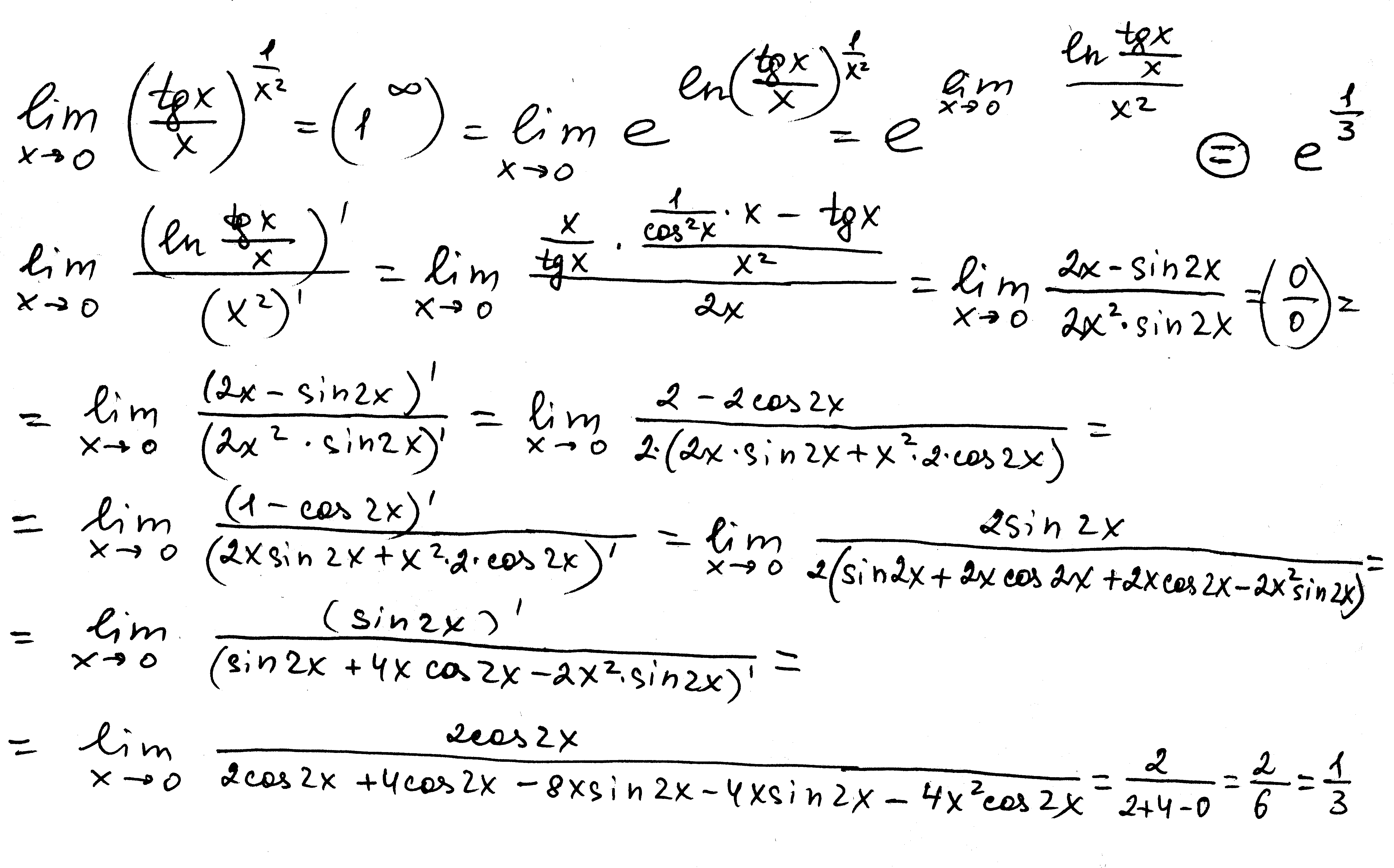
Мне задали предел
lim((tgx/x)^(1/x^2)) x->0
учитель сказал использовать логарифмирование, получилось
lim((Ln(tgx/x))/x^2) x->0
потом я использовал правило Лопиталя(несколько раз) но от неопределённости так и не избавился
может кто-нибудь подскажет?
devray
Сообщение
#4561
9.6.2007, 8:53
Вроде так:
Нажмите для просмотра прикрепленного файла
Чего-то у меня изображение не открывается...
В общем, решала так же как и вы: правило Лопиталя использовалось 4 раза, ответ = е^(1/3).
Тут главное в производных не запутаться.
(вроде получилось через файл _.doc выложить)
Ботаник
Сообщение
#4564
9.6.2007, 11:01
Здесь в своё время была задачка на нахождение (или как теперь говорят "решение") предела, в которой нужно было семь раз применять правило Лопиталя.
Jarek
Сообщение
#4587
10.6.2007, 5:44
Большое Вам спасибо за решение
Я спасён!!
devray
Сообщение
#4599
10.6.2007, 11:56
Jarek, только сейчас заметила, что вы из Кургана!
Даже сердце ёкнуло - сама училась в КГУ - ЗЕМЛЯКИ!!!
Это текстовая версия — только основной контент. Для просмотра полной версии этой страницы, пожалуйста,
нажмите сюда
.
Русская версия Invision Power Board © 2001-2026
Invision Power Services, Inc.