Помощь
-
Поиск
-
Пользователи
-
Календарь
Полная версия:
найти наибольшее и наименьшее значение функции > Дифференцирование (производные)
Образовательный студенческий форум
>
Высшая математика
>
Дифференцирование (производные)
Tatyana___kotena
Сообщение
#48564
20.12.2009, 11:48
найти наибольшее и наименьшее значение функции
tig81
Сообщение
#48567
20.12.2009, 11:50
Что проверять?
Называйте нормально темы.
Tatyana___kotena
Сообщение
#48578
20.12.2009, 12:08
исследование функции и построение графика y = actg * ((1-x)/(1+x))
tig81
Сообщение
#48579
20.12.2009, 12:11
Цитата(Tatyana___kotena @ 20.12.2009, 14:08)
[1.jpg]http://C:\Documents and Settings\Admin\Мои документы[/1.jpg]
Спасибо большое за ссылку, но к вам на локальный диск я никак не попаду
Tatyana___kotena
Сообщение
#48582
20.12.2009, 12:17
на отрезке [0;1]
Ярослав_
Сообщение
#48583
20.12.2009, 12:19
tig81
Сообщение
#48584
20.12.2009, 12:20
Цитата(Tatyana___kotena @ 20.12.2009, 14:17)
на отрезке [0;1]
а проверять что? Где решение?
Tatyana___kotena
Сообщение
#48588
20.12.2009, 12:35
вот мое решение..............
Нажмите для просмотра прикрепленного файла
tig81
Сообщение
#48590
20.12.2009, 12:41
производная найдена неверно.
Вторая строка, последнее выражение, неправильно записан знаменатель. Скобки терять не надо.
Tatyana___kotena
Сообщение
#48593
20.12.2009, 12:44
..........
а напишите пожалуйста так как должно быть......я не совсем поняла
tig81
Сообщение
#48594
20.12.2009, 12:45
Цитата(Tatyana___kotena @ 20.12.2009, 14:44)
а напишите пожалуйста так как должно быть......я не совсем поняла
1/(а+b )*1/c=1/[(a+b )*c], у вас же получилось, что ...=1/(a+b*c)
Tatyana___kotena
Сообщение
#48597
20.12.2009, 12:52
я все равно не поняла..........поняла только о каком месте в примере вы говорите............
tig81
Сообщение
#48599
20.12.2009, 12:55
Цитата(Tatyana___kotena @ 20.12.2009, 14:52)
я все равно не поняла
что именно? Умножьте правильно роби.
П.С. Если вам не тяжело, ставьте по-меньше точек.
Tatyana___kotena
Сообщение
#48601
20.12.2009, 12:57
спасибо большое я поняла...и там получится да наименьшее и наибольшее
tig81
Сообщение
#48602
20.12.2009, 12:58
Цитата(Tatyana___kotena @ 20.12.2009, 14:57)
и там получится да наименьшее и наибольшее
там - это где?
Tatyana___kotena
Сообщение
#48605
20.12.2009, 13:09
можно я покажу вам решение с того момента где было не верно..чтоб вы проверили правильно или нет ...
пожалуйста если не трудно
этот же самый пример с производной ....
tig81
Сообщение
#48611
20.12.2009, 13:14
Цитата(Tatyana___kotena @ 20.12.2009, 15:09)
можно я покажу вам решение с того момента где было не верно..
жду.
Tatyana___kotena
Сообщение
#48613
20.12.2009, 13:17
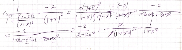
вот переделала ...только правильно или нет...
Нажмите для просмотра прикрепленного файла
tig81
Сообщение
#48615
20.12.2009, 13:21
Цитата(Tatyana___kotena @ 20.12.2009, 15:17)
вот переделала ...только правильно или нет...
теперь правильно.
Tatyana___kotena
Сообщение
#48616
20.12.2009, 13:22
Урааааааааааааа....правильно.......спасибо большое...
tig81
Сообщение
#48619
20.12.2009, 13:25
Tatyana___kotena
Сообщение
#48622
20.12.2009, 13:33
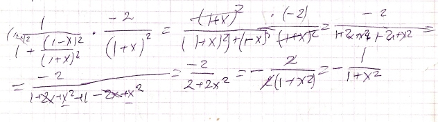
производную я наша ..помогите дальше ...я не поняла
Нажмите для просмотра прикрепленного файла
Нажмите для просмотра прикрепленного файла
tig81
Сообщение
#48628
20.12.2009, 13:47
Цитата(Tatyana___kotena @ 20.12.2009, 15:33)
..помогите дальше ...я не поняла
Что непонятно? Вы же в первом варианте уже делали. Находите теперь точки, в которых первая производная равна нулю.
Это текстовая версия — только основной контент. Для просмотра полной версии этой страницы, пожалуйста,
нажмите сюда
.
Русская версия Invision Power Board © 2001-2026
Invision Power Services, Inc.