Помощь - Поиск - Пользователи - Календарь
Полная версия: неопределенный интеграл > Интегралы
Образовательный студенческий форум > Высшая математика > Интегралы
Шура
Скачал задачник Кузнецова и на первом же примере застрял.Подскажите каким методом решать
int(4-3x)*e^(-3x)dx
tig81
по частям.
Шура
Вот беда с мозгами.Пробовал же.А сейчас проверил и нашел ошибку bash.gif
Спасибо за помощь thumbsup.gif
tig81
Цитата(Шура @ 15.12.2009, 23:43) *

Вот беда с мозгами.Пробовал же.А сейчас проверил и нашел ошибку bash.gif

бывает
Цитата
Спасибо за помощь thumbsup.gif

bigwink.gif
Шура
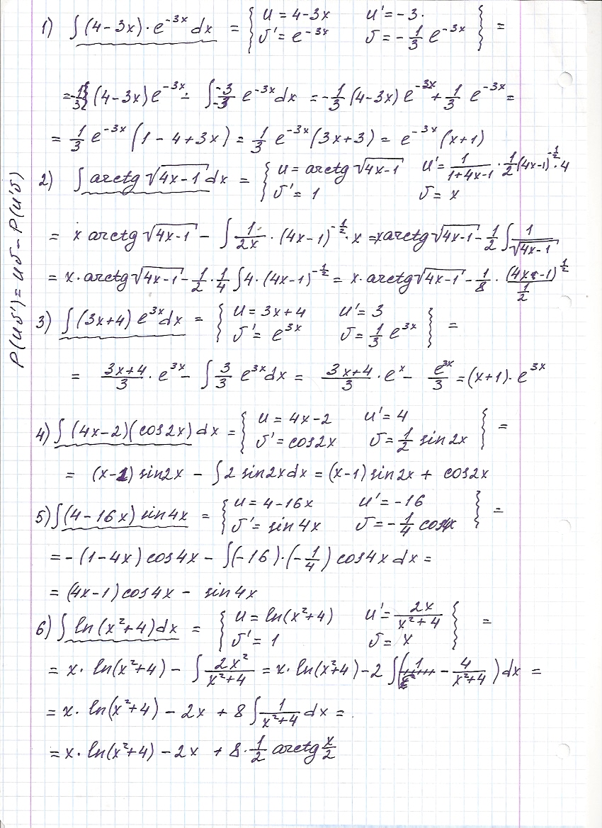
Я не стал открывать новую тему.Проверьте, пожалуйста,решение и этого интеграла и еще нескольких.Одно "но".Нас учат решать через первообразные,формулу я написал на полях,поэтому отсутствуют dU ,dV,но уверен что вам будет понятноНажмите для просмотра прикрепленного файла
граф Монте-Кристо
В третьей строчке потреяли знак минус.
В 4) потеряли 2 перед иксом после интегрирования по частям в первом слагаемом.
В некоторых местах забыли dx дописать в интеграле и везде - нужно ещё +С, интегралы же неопределённые.
Шура
Ошибки нашел.Спасибо за помощь smile.gif
Это текстовая версия — только основной контент. Для просмотра полной версии этой страницы, пожалуйста, нажмите сюда.
Русская версия Invision Power Board © 2001-2026 Invision Power Services, Inc.