Помощь - Поиск - Пользователи - Календарь
Полная версия: Вероятность попадания при каждом выстреле.... > Теория вероятностей
Образовательный студенческий форум > Высшая математика > Теория вероятностей
Региночка
Привет.
В данной задаче я не могу определить по какому методу решать??
подскажите.....пожалуйста....
Вероятность попадания при каждом выстреле равна 0,4. Найти
вероятность разрушения объекта, если для этого необходимо не
менее трёх попаданий, а сделано 15 выстрелов.
Ботаник
Это задача на повторение испытаний. Следует пользоваться формулой Бернулли. В данной задаче проще искать вероятность противоположного события, т.е. того, что объект НЕ будет разрушент, т.е. в него попадут 0, 1 или 2 раза.
Региночка
спасибо!!
т.е получается что по формуле Бернулли
P = C15^3*p^3*q^(15-3) = 455*0.4^3*0.6^12=455*0.064*0.00217=
= 0.064
правильно или нет я нашла???
Ботаник
Вы совершенно правильно вычислили вероятность ровно трёх попаданий при 15 выстрелах. Но это число вам как раз не нужно.
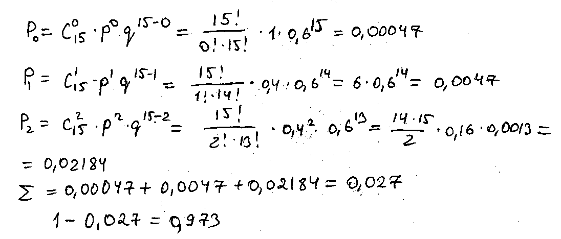
Нужно вычислить вероятность:
0 попаданий
1 попадание
2 попадания.
Суммируете три найденных числа - это будет вероятность того, что объект НЕ разрушен.
Затем из 1 вычитаете найденную сумму - это и будет вероятность разрушения объекта.
Региночка
спасибо
надеюсь сейчас правильно
Нажмите для просмотра прикрепленного файла
Ботаник
Выглядит убедительно.
Это текстовая версия — только основной контент. Для просмотра полной версии этой страницы, пожалуйста, нажмите сюда.
Русская версия Invision Power Board © 2001-2026 Invision Power Services, Inc.