Помощь
-
Поиск
-
Пользователи
-
Календарь
Полная версия:
Решение системы дифф. уравнений ( Сообщение # 41531 by Koketka ) > Дифференциальные уравнения
Образовательный студенческий форум
>
Высшая математика
>
Дифференциальные уравнения
Koketka
10.10.2009, 10:11
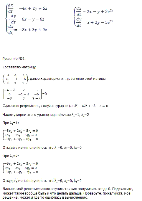
Необходимо решить систему, используя характеристичечкое уравнение
Нажмите для просмотра прикрепленного файла
Это текстовая версия — только основной контент. Для просмотра полной версии этой страницы, пожалуйста,
нажмите сюда
.
Русская версия Invision Power Board © 2001-2026
Invision Power Services, Inc.