Помощь
-
Поиск
-
Пользователи
-
Календарь
Полная версия:
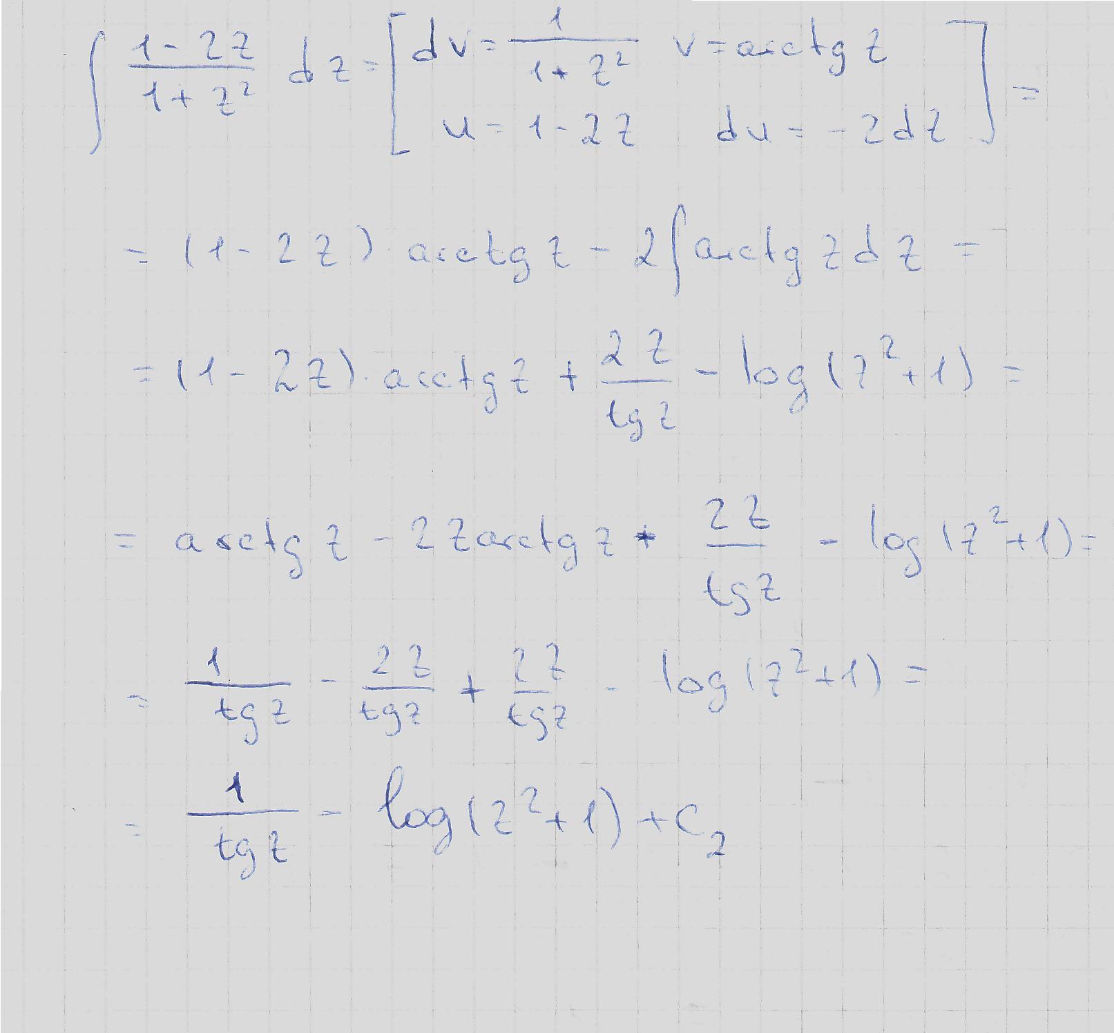
y'=(x^2+xy-y^2)/(x^2-2xy) ( Сообщение # 39990 by Smolexey ) > Дифференциальные уравнения
Образовательный студенческий форум
>
Высшая математика
>
Дифференциальные уравнения
Smolexey
8.9.2009, 13:40
Получилось вот так:
Нажмите для просмотра прикрепленного файла
Верно?
А как с этими "c" разобраться?
Это текстовая версия — только основной контент. Для просмотра полной версии этой страницы, пожалуйста,
нажмите сюда
.
Русская версия Invision Power Board © 2001-2026
Invision Power Services, Inc.