Марина Игоревна
Сообщение
#39447 5.8.2009, 7:55
Здравствуйте! Решила задачу и меня немного смутил ответ. Может ли объем фигуры быть таким маленьким?
Руководитель проекта
Сообщение
#39455 6.8.2009, 8:41
Неверно решаете. Посмотрите
образец.
Марина Игоревна
Сообщение
#39483 6.8.2009, 14:03
Исправила с опорой на ваш образец, теперь верно?
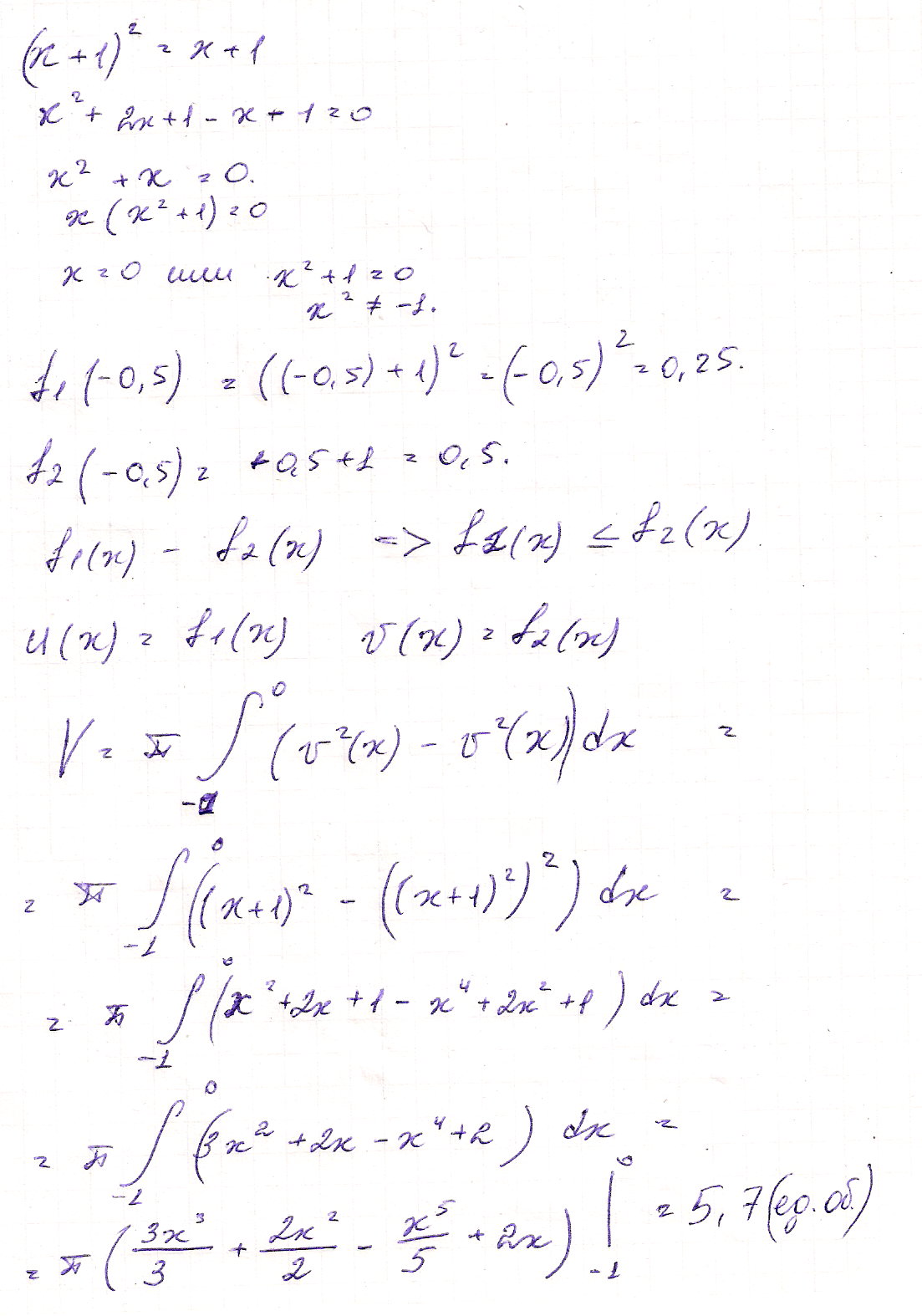
Нажмите для просмотра прикрепленного файла Ответ:9pi/5= 5, 7
Ярослав_
Сообщение
#39485 6.8.2009, 14:41
У Вас третья строчка снизу не правильно записана и со знаками напутано
(x+1)^4 не равно x^4+2x^2+1
Марина Игоревна
Сообщение
#39690 13.8.2009, 11:36
Здравствуйте.
я подумала и решила выразить (x+1)^2=t а (x+1)^4=t^2 dx=dt/2t^1/2
и решив интеграл данным способом ответ получился 7,42 (ед.об)
Теперь верно?
Ярослав_
Сообщение
#39691 13.8.2009, 12:05
И теперь не верно...
V=pi*int(-1;0){(x+1)^2d(x+1)-(x+1)^4d(x+1)}=pi*{(x+1)^3/3-(x+1)^5/5}|_{-1}^0=pi*(1/3-1/5)=2*pi/15
Марина Игоревна
Сообщение
#39692 13.8.2009, 12:23
У меня тоже получилось 2pi/15 и посчитала на калькуляторе, а он оказывается отработал своё, вот и получилось неправильно(((. Спасибо вам огромное... Калькулятор жалко(((
LamerX
Сообщение
#39702 15.8.2009, 15:52
При решении задач старайся решать в уме или на листике и тогда всё будет нормально, а то привыкли полагаться на электронику, а она обычно подводит в самый нужный момент

____________
адвокат
Killersmile
Сообщение
#116975 26.7.2022, 12:16
Interesting site i love it keep posting more!
Click here
Это текстовая версия — только основной контент. Для просмотра полной версии этой страницы, пожалуйста,
нажмите сюда.