Помощь
-
Поиск
-
Пользователи
-
Календарь
Полная версия:
Сходимость и расходимость определенного интеграла ( Сообщение # 39395 by Марина Игоревна ) > Интегралы
Образовательный студенческий форум
>
Высшая математика
>
Интегралы
Марина Игоревна
31.7.2009, 10:59
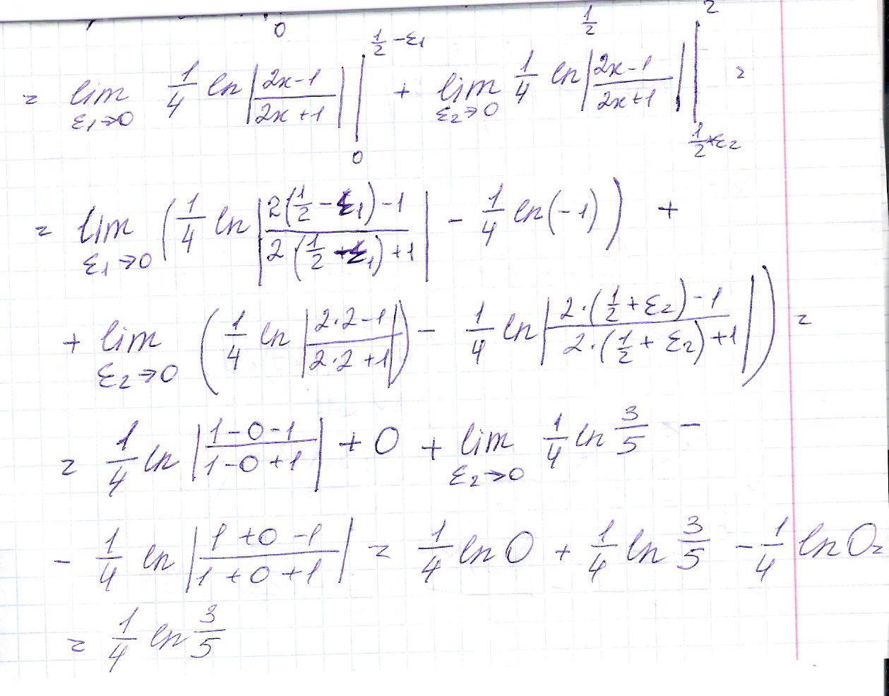
Я сделала, так как вы сказали, только ответ получился тот же-или ответ верный?
Нажмите для просмотра прикрепленного файла
Это текстовая версия — только основной контент. Для просмотра полной версии этой страницы, пожалуйста,
нажмите сюда
.
Русская версия Invision Power Board © 2001-2026
Invision Power Services, Inc.