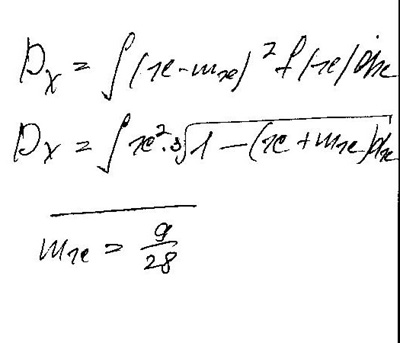
Построение графиков, нахождение функции распределения и математического ожидания у меня выполнено, запнулся на нахождение дисперсии.
Нажмите для просмотра прикрепленного файла
Нажмите для просмотра прикрепленного файла

Дисперсию можно найти по двум формулам, в обоих случаях проблема с нахождением интеграла:
Нажмите для просмотра прикрепленного файла