Вот черт! Я поторопился! blink.gif Решение оказалось неверным. (((
Начал решать по другому и столкнулся с проблемкой!
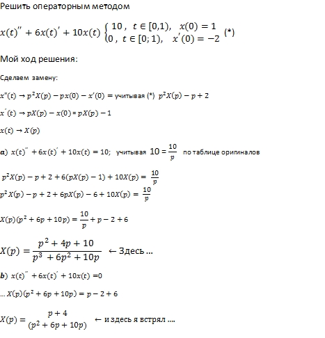
В местах, указанных на картинке, возникли сложности с разложением многочлена, находящегося в знаменателе, на множители!
При нахождении дискриминанта этого многочлена корни получаются комплексные.

Нажмите для просмотра прикрепленного файла

Помогите советом студенту! smile.gif