Помощь - Поиск - Пользователи - Календарь
Полная версия: линейные дифференциальные уравнения в частных производных > Дифференциальные уравнения
Образовательный студенческий форум > Высшая математика > Дифференциальные уравнения
chudo4258
Подскажите пожалуйста, где доступно описанно решение линейных дифференциальных уравнений в частных производных, пересмотрел много книг, но там все как-то очень сложно.
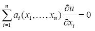
Мне бы найты решение уравнения вида:Нажмите для просмотра прикрепленного файла и Нажмите для просмотра прикрепленного файла , но только чтобы было описано доступным языком.
V.V.
Посмотрите http://u-pereslavl.botik.ru/~trushkov/ode/ode.pdf стр.111 и дальше.
Это текстовая версия — только основной контент. Для просмотра полной версии этой страницы, пожалуйста, нажмите сюда.
Русская версия Invision Power Board © 2001-2026 Invision Power Services, Inc.