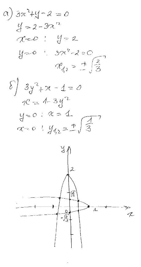
При построении графиков видно, что они имеют четыре точки пересечения, но невозможно установить координаты этих точек.

Нажмите для просмотра прикрепленного файла

Если решать аналитически, то я пришёл к многочлену четвёртой степени, может быть есть способы нахождения корней этого уравнения с которыми я ещё не знаком??

Нажмите для просмотра прикрепленного файла