Задача: Постоянная дифракционной решётки в n=4 раз больше длинысветовой волны монохроматического света, нормально падающего на её поверхность. Определить угол а между двумя первыми симметричными дифракционными максимумами.
Решение:Нажмите для просмотра прикрепленного файла
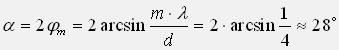
запишем условие максимума Нажмите для просмотра прикрепленного файла , где m=1,2,3... (m=1 по условию задачи)
отсюда выражаем уголНажмите для просмотра прикрепленного файла
Так как требуется найти угол а между первыми симметричными максимумами, то получаем:Нажмите для просмотра прикрепленного файла
На правду похоже?