Помощь
-
Поиск
-
Пользователи
-
Календарь
Полная версия:
2yy''+(y')^2+(y')^4=0 ( Сообщение # 29558 by misha_nick ) > Дифференциальные уравнения
Образовательный студенческий форум
>
Высшая математика
>
Дифференциальные уравнения
misha_nick
23.2.2009, 18:10
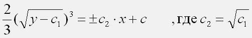
Значит выражение
Нажмите для просмотра прикрепленного файла
можно считать общим решением данного ДУ?
Это текстовая версия — только основной контент. Для просмотра полной версии этой страницы, пожалуйста,
нажмите сюда
.
Русская версия Invision Power Board © 2001-2026
Invision Power Services, Inc.