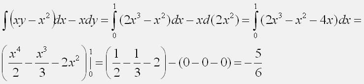
Задание: Вычислить криволинейный интеграл
Нажмите для просмотра прикрепленного файла вдоль дуги L параболы у=2*х^2 от начала координат до т.А(1;2)

Решение: Прем. Х изменяется в данном направлении от 0 до 1.
Вычислим криволинейный интеграл сведением его к определённому:
Нажмите для просмотра прикрепленного файла

Вот так у меня получилось. Правдоподобно? Или я где-то напутал huh.gif ? Если что поправьте плиззз....