Помощь
-
Поиск
-
Пользователи
-
Календарь
Полная версия:
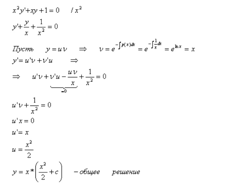
x^2y'+xy+1=0 ( Сообщение # 28649 by Nat111 ) > Дифференциальные уравнения
Образовательный студенческий форум
>
Высшая математика
>
Дифференциальные уравнения
Nat111
13.2.2009, 17:26
посмотрите пожалуйста правильно?
Нажмите для просмотра прикрепленного файла
Это текстовая версия — только основной контент. Для просмотра полной версии этой страницы, пожалуйста,
нажмите сюда
.
Русская версия Invision Power Board © 2001-2026
Invision Power Services, Inc.