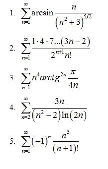
Здравствуйте. Помогите, пожалуйста. Укажите, хотя бы примерно какими признаками воспользоваться в данных примерах. Буду очень благодарна. Нажмите для просмотра прикрепленного файла
И еще нужно разложить в ряд тейлора функцию 3/(2-x-x^2) Я пыталась сделать по формуле Тейлора, но что то слишком огромные производные получаются, может нужно как то преобразовать функцию?В задании написано что разложить по степеням x, получается что x=1 или x=0. и если x=0, то тогда это уже ряд Макларена будет? Спасибо огромное заранее