Помощь
-
Поиск
-
Пользователи
-
Календарь
Полная версия:
масса тела ( Сообщение # 27645 by Wave ) > Интегралы
Образовательный студенческий форум
>
Высшая математика
>
Интегралы
Wave
28.1.2009, 19:17
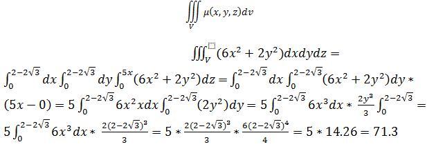
с помощью тройного интеграла вычислить массу тела (V),если плотность равна м(x,y,z)
м=6x^2 +2y^2 ; V: z=5x; z=0; 2x* 3^0.5 +y=2; y=0
масса V вычисляется по формуле:
Нажмите для просмотра прикрепленного файла
Это текстовая версия — только основной контент. Для просмотра полной версии этой страницы, пожалуйста,
нажмите сюда
.
Русская версия Invision Power Board © 2001-2026
Invision Power Services, Inc.