Задание: перейдя к полярным координатам, вычислить массу пластины D с плотностью м(x;y).
м(x,y)=-y/(x^2+y^2), D:x^2+Y^2=1, x^2+Y^2=9, x=y=0, (x>=0, y<=0)

рисунок у меня получился такой: Нажмите для просмотра прикрепленного файла

решение: область D ограничена окружностями x^2+Y^2=1 и x^2+Y^2=9 с центрами в начале координат и радиусами 1 и 3. так как x>=0, y<=0 то на рис. показананужная область D.
x=rcosф, y=rsinф, x^2+Y^2=r^2/
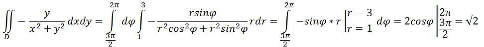
масса плоской пластины равна двойному интегралу от поверхностной плотности:
Нажмите для просмотра прикрепленного файла Вычисление данного интеграла удобнее выполнить в полярных координатах. Область D записывается в виде D: Нажмите для просмотра прикрепленного файла. Поэтому:Нажмите для просмотра прикрепленного файла
так или нет?