Цитата(Тролль @ 23.1.2009, 2:32)

z = 1/y^2
z' = (y^(-2))' = -2/y^3 * y'
Теперь разделим уравнение на y^3 и сделаем замену.
ну-ка, ну-ка, сейчас попробую.... спасибо
поняла, сводится к линейному, в принципи, мне кажется разницы сильно нет, правда?
меня вот что в моём решении смущает:
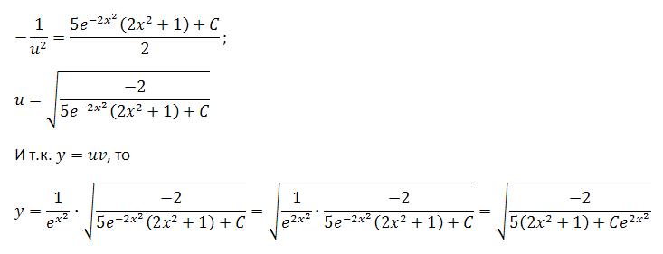
u получается тогда равен корню из отрицательного выражения? такое может быть?