Здравствуйте!
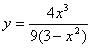
Помогите пожалуйста разобраться с функцией:
Нажмите для просмотра прикрепленного файла
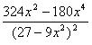
Нашёл производную:
Нажмите для просмотра прикрепленного файла
Не могу понять как мне вычислить критические точки?
И ещё вопрос: Область определения этой функции от -беск. до +беск?
Помогите пожалуйста разобраться,буду очень-очень благодарен!
производную нашли неверно, в числителе будет: 324x^2-36x^4=36x^2(9-x^2), знаменатель тот же
критические точки будут: х1=0; х2=-3; х3=3; х4=-√3; х5=√3
область определения: (-∞; -√3)U(-√3;√3)U(√3;+∞)
вроде так
