Помощь
-
Поиск
-
Пользователи
-
Календарь
Полная версия:
сходимость ряда > Ряды
Образовательный студенческий форум
>
Высшая математика
>
Ряды
Wave
Сообщение
#25019
24.12.2008, 17:47
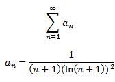
исследовать сходимость числового ряда
Нажмите для просмотра прикрепленного файла
. подскажите с чего решать начать?
tig81
Сообщение
#25057
24.12.2008, 19:33
Цитата
подскажите с чего решать начать?
С рассмотрения признаков сходимости. Например, интегрального признака Коши.
Wave
Сообщение
#25738
2.1.2009, 6:34
lim(n стремиться к бесконечности) [n*ln^2(n)]/(n+1)(ln(n+1))^2 =1
а потом найти:int(от 1 до +бессконечности) dx/x*ln^2(x) ?
Тролль
Сообщение
#25755
2.1.2009, 16:57
Да, только можно сразу интеграл искать от функции
1/((x + 1) * ln^2 (x+1))
Wave
Сообщение
#26238
10.1.2009, 20:16
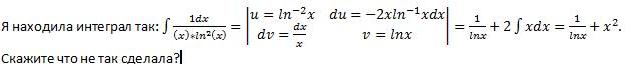
а значение интеграла такое получается: 1/lnx +x^2 ?
Тролль
Сообщение
#26247
11.1.2009, 0:10
нет
Wave
Сообщение
#26735
16.1.2009, 21:31
Цитата(Тролль @ 11.1.2009, 6:10)
нет
Нажмите для просмотра прикрепленного файла
граф Монте-Кристо
Сообщение
#26737
16.1.2009, 21:35
Зачем Вы по частям интегрируете,да ещё и dv неправильно нашли?Проще сразу внести ln(x) под знак дифференциала.
Это текстовая версия — только основной контент. Для просмотра полной версии этой страницы, пожалуйста,
нажмите сюда
.
Русская версия Invision Power Board © 2001-2026
Invision Power Services, Inc.