Помощь
-
Поиск
-
Пользователи
-
Календарь
Полная версия:
Точки разрыва и их характер ( Сообщение # 24616 by havoc ) > Графики (исследование функций)
Образовательный студенческий форум
>
Высшая математика
>
Графики (исследование функций)
havoc
21.12.2008, 19:50
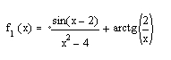
Помогите найти точки разрыва и исследовать их характер для функции:
Нажмите для просмотра прикрепленного файла
Это текстовая версия — только основной контент. Для просмотра полной версии этой страницы, пожалуйста,
нажмите сюда
.
Русская версия Invision Power Board © 2001-2026
Invision Power Services, Inc.