Помощь
-
Поиск
-
Пользователи
-
Календарь
Полная версия:
Графический метод, линейное программирование ( Сообщение # 23830 by Sandr ) > Разное
Образовательный студенческий форум
>
Высшая математика
>
Разное
Sandr
13.12.2008, 20:05
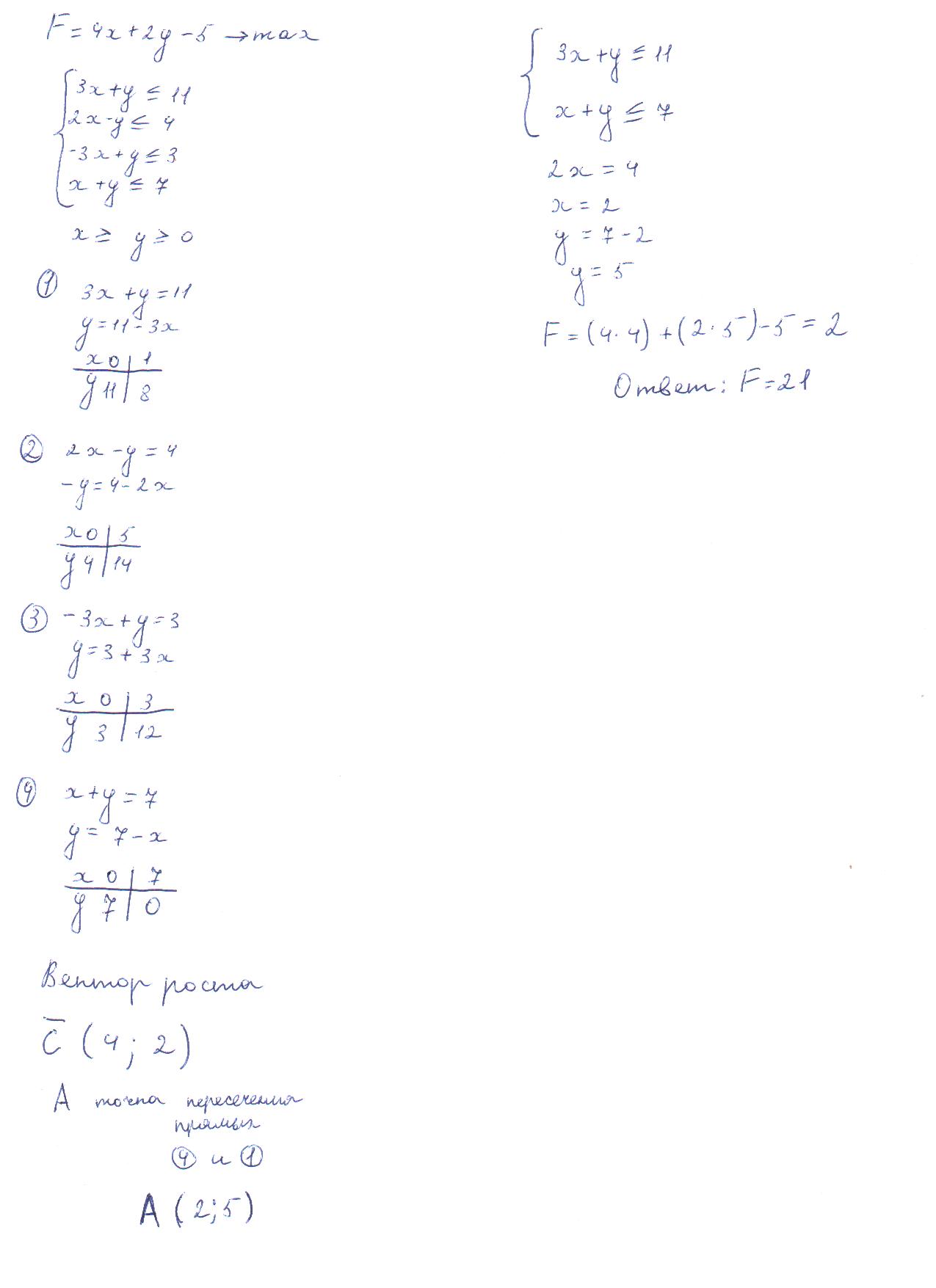
помогите пожалуйста.Этот же самый пример.Но нужно решить графически.Вернее решение уже есть,нужно проверить.
Нажмите для просмотра прикрепленного файла
Нажмите для просмотра прикрепленного файла
Это текстовая версия — только основной контент. Для просмотра полной версии этой страницы, пожалуйста,
нажмите сюда
.
Русская версия Invision Power Board © 2001-2026
Invision Power Services, Inc.