Помощь
-
Поиск
-
Пользователи
-
Календарь
Полная версия:
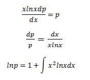
y''xlnx-y'=0 ( Сообщение # 24129 by Wave ) > Дифференциальные уравнения
Образовательный студенческий форум
>
Высшая математика
>
Дифференциальные уравнения
Wave
16.12.2008, 20:48
Нажмите для просмотра прикрепленного файла
Нажмите для просмотра прикрепленного файла
Это текстовая версия — только основной контент. Для просмотра полной версии этой страницы, пожалуйста,
нажмите сюда
.
Русская версия Invision Power Board © 2001-2026
Invision Power Services, Inc.