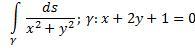
Пожалуйста подскажите с чего начать в: вычислить криволинейный интеграл первого рода по кривой на плоскости. Нажмите для просмотра прикрепленного файла, от точки А(-1/2, -1/4) до В (1/2, -3/4).
Это текстовая версия — только основной контент. Для просмотра полной версии этой страницы, пожалуйста, нажмите сюда.