Цитата(Liss @ 13.11.2008, 19:20)

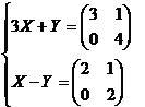
Ну, если бы еще и матриц не было, решила бы как обычную систему с двумя неизвестными. Наличие матриц меня смущает. В сети много примеров решения обычных матричных уравнений с одной неизвестной с использованием обратной матрицы. А тут я что-то не поняла...
ну операции над матрицами я надеюсь вам известны!?
Например, сложите первое и второе уравнение...