Помощь
-
Поиск
-
Пользователи
-
Календарь
Полная версия:
2y'=y^2/x^2+6y/x+3, xy'+y=2y^2lnx ( Сообщение # 19194 by Wave ) > Дифференциальные уравнения
Образовательный студенческий форум
>
Высшая математика
>
Дифференциальные уравнения
Wave
13.10.2008, 19:20
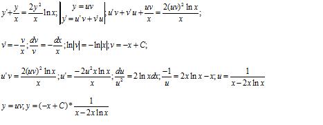
а второй вот такой получился:
Нажмите для просмотра прикрепленного файла
Это текстовая версия — только основной контент. Для просмотра полной версии этой страницы, пожалуйста,
нажмите сюда
.
Русская версия Invision Power Board © 2001-2026
Invision Power Services, Inc.