y = ln sin x
y' = (ln sin x)' = 1/sin x * (sin x)' = cos x/sin x.
Тогда
L = int (...) (1 + cos^2 x/sin^2 x)^(1/2) dx =
= int (...) (1/sin^2 x)^(1/2) dx =
= int (...) 1/|sin x| dx = int (...) 1/sin x dx
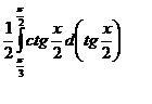
Дальше sin x = 2 * sin (x/2) * cos (x/2)
А затем домножаем числитель и знаменатель на cos (x/2) и вносим 1/cos^2 (x/2) под дифференциал.
Этот интеграл найден в разделе интегралы, надо просто страницы полистать и легко найти нужный топик.
Нажмите для просмотра прикрепленного файла у меня получилось так!
